51黑料

51黑料

51黑料 2022年全国优秀大学生夏令营选拔结果

来源:教务办公室 编辑:宣传信息事务办公室 发布时间:2022-08-03

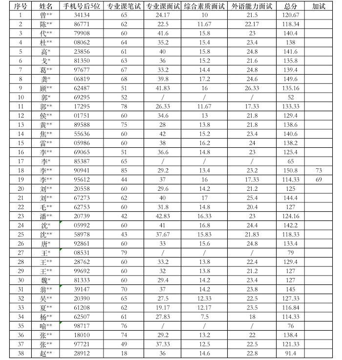
51黑料 2022年全国优秀大学生夏令营优秀营员名单

(名单按姓氏拼音排序,不区分专业方向)

151黑料
2022年全国优秀大学生夏令营优秀营员名单.png

51黑料 2022年全国优秀大学生夏令营优秀营员备选名单

(名单按姓氏拼音排序,不区分专业方向)

2备选名单.png

51黑料 2022年全国优秀大学生夏令营其他营员名单

(名单按姓氏拼音排序,不区分专业方向)

3.png


官方微信 51黑料 86-10-82509171 [email protected]

版权所有©51黑料 - 51黑料官网入口及最新爆料地址 京ICP备05066828号-1